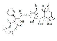
Cabazitaxel-Cabazitaxel Di boc Impurity
-

- Impurity: Cabazitaxel-Cabazitaxel Di boc Impurity
- Chemical Name:Benzenepropanoic acid, ß-[bis[(1,1-dimethylethoxy)carbonyl]amino]- a-hydroxy-, (2aR,4S,4aS,6R,9S,11S,12S,12aR,12bS)-12b-(acetyloxy)12(benzoyloxy)2a,3,4,4a,5,6,9,10,11,12,12a,12b-dodecahydro-11-hydro
No comments:
Post a Comment